Industry News
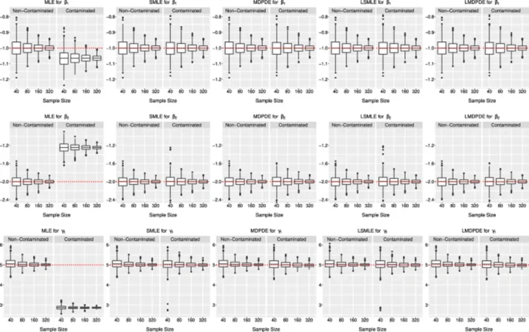
Egyptian Mathematician Tames Data Chaos with Robust Beta Regression Models
Green Shipping Advances: Fleet and Fuel Integration Model
Operations
VISTA Framework Revolutionizes Vessel Trajectory Imputation
Researchers Chart New Course for Global Liner Shipping Analysis
Security
Ukrainian Study Charts Maritime Education’s Path Through Global Shifts and Conflict
Odessa Maritime Academy’s Digital Twin Revolutionizes Maritime Electromechanical Systems
Design
Innnovation
Deep-Sea Microbes’ Chemical Chatter Unveiled by Chinese Researchers
Dalian Maritime University’s Breakthrough in Human-Machine Interaction for Maritime Precision
UNED’s AI Breakthrough Revolutionizes TB Screening for Maritime Health
Alexandria University’s Blockchain-Deep Learning Model Fortifies Maritime Fraud Detection
Training
Maritime Safety Devices Fail Under Real-World Conditions, Study Reveals
IMO Overhauls Maritime Safety, Welfare, and Environmental Rules
CDMCS Tackles Safety Challenges at Annual Leadership Meeting
VINSSEN Secures KR, ABS Approval for 150kW Marine Fuel Cell Module
Industry News
ABS and Siemens Energy Tackle Lithium-Ion Battery Safety in Marine Sector
Nigeria’s Piracy Crisis: A Complex Web of Causes and Consequences
United Maritime Corp Reports Mixed Q3 Results, Strategic Shifts Ahead
Seagate Space’s Gateway-S: A Maritime Revolution for Space Launches
Maritime Technology Review is your premier destination for the latest news, trends, and innovations in the world of maritime technology. Our mission is to equip maritime professionals, businesses, and enthusiasts with the knowledge and tools they need to thrive in a rapidly evolving industry.
From autonomous ships and advanced navigation systems, to smart ports and IoT-driven maritime solutions, we cover it all. Our team of expert writers and industry insiders bring you the stories that matter, and the insights you need to stay ahead of the wave. Discover the cutting edge developments shaping the maritime sector of the future and join a community of like-minded individuals. Let us help you navigate the exciting and challenging world of maritime technology.
Subscribe to our newsletter, and follow us on social media, to stay up-to-date with the latest news and trends. And if you have a story to share, or a product or service you’d like us to feature, please get in touch. We’d love to hear from you.Together, we can build a more sustainable, efficient, and prosperous future for agriculture.
